LD score regression
LD score regression 은 Genome-wide association study(GWAS) 에서 특정 trait 의 polegenicity 를 추정하기 위해 사용하는 방법이다. LD score regression 은 GWAS summary statatistics 를 기반으로 SNP-heritability 추정, SNP-heritability 기반 genetic correlation 의 추정 등 다양한 measure 들을 계산하는데에 활용되고 있다. 본 문서에서는 LD score regression 의 등장 배경과 의미에 대해 알아보고자 한다.
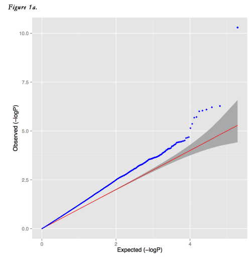
polygenic trait 에 대해 GWAS 를 수행한 후에, 각 SNP 들의 p-value 의 분포를 살펴보면 null distribution 과 비교하여 값들이 낮게 나타나는 것을 확인할 수 있다. 이렇게 높게 나타나는 검정 통계량은 형질이 polygenic 함을 의미할 수도 있지만, confounding bias 나 population stratification 가 영향을 주었을 수도 있다. polygenicity 로부터 위와 같은 bias 를 분리해내는 방법이 LD score regression 이며, LD score regression 은 이 과정에서 Linkage Disequillibrium (LD) 와 검정 통계량 (test statistics) 의 관계를 이용한다.

"Both polygenicity (i.e. many small genetic effects) and confounding biases, such as cryptic relatedness and population stratification, can yield inflated distributions of test statistics in genome-wide association studies (GWAS). "
LD score regression 의 아이디어
어떤 SNP j 에 대해서 이 LD 관계에 있는 SNP 들이 많을 수록, polygenic 한 trait 에 대해서는 test statistics 이 높게 나올 가능성이 높다. LD 는 유전자 변이간의 연관성을 의미한다. 만약, 어떤 SNP 이 LD 관계에 있는 SNP 이 많다고 하면, causal variant 와 LD 관계일 가능성이 높고, causal variant 와 LD 관계라면, test statistics 가 높게 나온다. 따라서 LD 관계에 있는 SNP 이 많으면, test statistics 가 높게 나올 가능성이 높다. LD score regression 은 이렇게 LD 관계에 있는 SNP 이 많은 SNP 일 수록 test stat 이 높게 나올 가능성이 높다라는 관계를 이용하는 방법이다. 그리고, 이러한 경향성이 강한 trait 일 수록 polygenicity 가 강하다고 말할 수 있다. (즉, LD score 와 test stat 의 연관성이 강할 수록 polygenic effect 로 phenotype 을 설명할 수 있는 비중이 높다.)

GWAS test statistics
LD score regression 에서는 chi-square value 를 regression 의 종속변수로 선정한다. chi-square value 는 무엇일까? 일반적으로 GWAS 결과로 effect size (beta) 와 standard deviation (sd) 값이 나오게 된다. 이 때, beta/sd 를 z-value 라고 한다. (이는 beta = 0 이라는 귀무가설 하에 구한 z-score 이다.) z-value 관측된 beta 값이 0으로부터 몇 standard deviation 떨어져 있는지를 의미한다. 이 때 chi-square value 는 z value 의 제곱으로 계산된다. z-value 는 표준정규분포를 따르며, 표준 정규 분포의 확률변수 z 의 제곱은 자유도가 1인 chi-square 분포를 따르기 때문이다.
LD 와 LD score 는 무엇일까?
먼저 LD 와 LD score 를 계산하는 방법을 간단히 알아보자. 일반적으로 두개의 SNP A,B 의 LD 와 관련된 지표 D 와 r^2 은 아래와 같이 계산된다. D 값이 높을 수록 A,B 변이는 함께 나타날 가능성이 높음을 의미 한다. 만약, P(A)=0.3, P(B)=0.4, P(A,B) = 0.15 라고 하면, D는 0.03 으로 계산되며, A,B 는 LD 관계가 아닐 것으로 판단된다.
$$ D_{AB} = P(A \cap B) - P(A) P(B) $$
일반적으로 많이 사용되는 지표인 r^2 은 아래와 같이 계산된다.
$$ r_{AB}^2 = \frac{D^2}{P(A)(1-P(A))P(B)(1-P(B))} $$
특정 SNP j 에 대한 LD score 는 아래와 같이 계산된다. LD score 는 각각의 SNP 에 대해 다른 모든 SNP 들과의 LD 값 (r^2) 들을 더한 값으로 볼 수 있다.
$$ l_j = 1 + \sum_{k \neq j}r_{jk}^2 $$
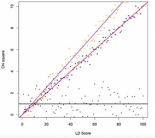
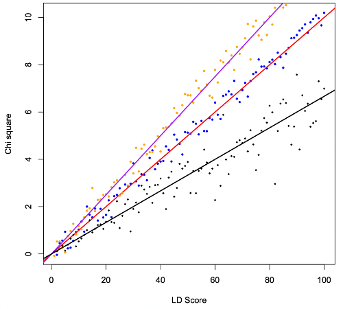
LD score 와 test statistics (chi square value) 의 관계를 아래와 같이 시각화해볼 수 있다. 아래 차트는 LD score 의 bin 과 평균 chi-square value 의 관계를 보여준다. 직선은 아래 점들을 대상으로 단순 선형 회귀 분석을 한 결과를 표현한다 (아래 차트에서 각 점들에 해당 하는 SNP 의 갯수에 가중치를 두어 regression 을 돌리면 결국 전체 snp 과 chi-square 를 대상으로 regression 을 돌린 것과 같은 값이 나오게 될 것이다).

이를 LD score regression 이라고 하며, 이 선형 회귀 분석에서 기울기는 polygenicity 를 반영하고, 절편은 bias 를 반영한다. LD 와 chi-square 의 연관성 (기울기) 이 polygenicity 이며, 전반적으로 chi-square 가 inflation 이 된 정도 (절편) 가 bias 라는 것이다. 이러한 방법을 통해 polygenicity 와 bias 를 분해할 수 있게 된다.
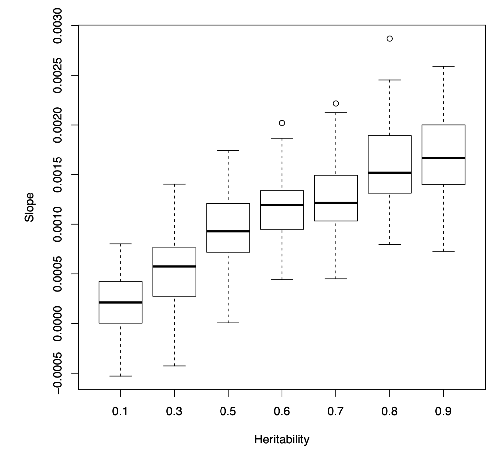
또한, LD score regression 에서 기울기는 heritability 를 반영한다. 아래 그림과 같이 heritability 가 높을 수록 LD score regression 의 기울기가 커지게 된다.

또한, 기울기는 샘플 사이즈와 사용한 SNP의 전체 개수에도 영향을 받는다. 샘플 사이즈 N 이 커질 수록 chi-square 값이 커지고, 사용한 SNP 의 개수가 많아질 수록, LD score 의 값이 기본적으로 높아진다. 이를 고려하여, 특정 SNP j 의 test stat 을 설명하는 아래와 같은 regression 모델을 고려할 수 있다.
$$ E[\chi^2 | l_j] = Nh^2/M l_j + Na + 1 $$
기울기는 heritability 와 N, M 으로 분해하여 나타낸다. 또한 절편은 Na + 1 로 표현되는데, 이 때, a 가 population structure 또는 confounding bias 와 같은 요인으로 인해 test stat 이 inflation 된 정도를 의미한다. 1이 더해진 이유는, LD score 가 0 인 SNP (즉, 그 어떤 SNP 과도 LD 관계에 있지 않은 SNP) 의 경우, chi-square value 는 causal variant 가 아닌 이상 기댓값은 1일 것이다 (자유도가 1인 chi-square distribution 의 평균값). 따라서, 절편은 1에 가까울 것이며, 1에서 벗어난 만큼을 bias 로 판단하겠다는 의미를 가진다.
Bivariate LD score regression
두개의 trait X, Y 에 대한 test statistics 를 이용해 LD score regression 을 하는 것을 Bivariate LD score regression 이라고 한다. 구체적으로, 두개의 trait X, Y 에 대한 각각의 z-value 의 곱에 대하여 LD score regression 을 한다. 앞선 LD score regression 에 대해서는 chi-square value 를 사용했는데, chi-square value 는 z-value 의 곱이다. 즉, z^2 대신에 z_x * z_y 를 넣어서 regression 을 한다는 것이다.
참고) X_n 이 표준정규분포로부터 추출된 random variable 일 때, X_n 의 제곱의 합은 자유도가 n인 chi-square 분포를 따른다.
위에서는 자유도가 1인 chi-square value 이기 때문에 z^2 = chi-square 가 된다.
$$ X^2_1 + X^2_2 + ... X^2_n \sim \chi^2(n) $$
이 때의 기울기는 무슨 의미를 가질까? 만약 두개의 z-value 간에 아무런 연관성이 없다면, 1을 중심으로 퍼져있는 분포를 나타내게 된다. (z^2 의 분포는 자유도가 1인 카이제곱 분포를 따르며, 자유도가 1인 카이제곱 분포의 기댓값은 1이기 때문) 하지만, z-value 간에 연관성이 있다면, 기울기를 갖게 되며, 이 때의 기울기는 두 trait 간의 유전적 연관성을 의미한다. 두 trait 간에 유전적 연관성을 나타내는 지표로 co-heritability 가 있다. 기울기는 co-heritability 를 반영한다고 볼 수 있다. 이를 모델링하면 아래와 같이 표현할 수 있다.
$$ E[z_{xj}z_{yj}] = \frac{\sqrt{N_xN_y}h_{xy}^2}{M}l_j + \frac{\rho N_s}{\sqrt{N_xN_y}} $$
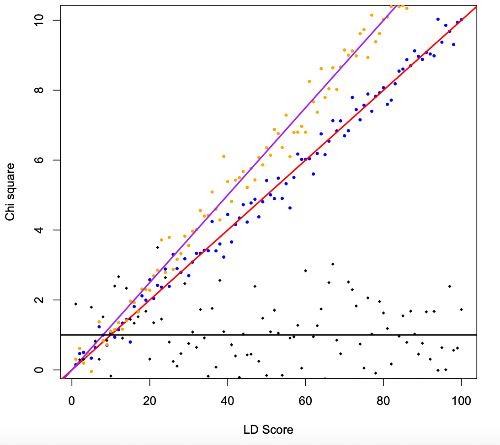
왼쪽 그림에서 검은색 선은 유전적 연관성이 없는 trait 에 대한 기울기를 보여주며, 오른쪽 그림에서의 검은색 선은 연관성이 있는 trait 에 대한 기울기를 보여준다. 기울기가 가파를 수록 두 trait 간에 유전적 연관성이 높다고 볼 수 있다.


참고자료
- LD Score Regression Distinguishes Confounding from Polygenicity in Genome-Wide Association Studies (2015)
- https://cnsgenomics.com/data/teaching/GNGWS22/module4/Lecture11_from_pgc_stat_bulik_2015.pdf
- An atlas of genetic correlations across human diseases and traits (2015)
'Domains > Genetics' 카테고리의 다른 글
| 유전학에서의 딥러닝 활용이 정밀의학에 어떻게 기여하는가? (0) | 2024.04.27 |
|---|---|
| genetic score 를 통해 heritability 를 구하는 방법 (1) | 2023.08.30 |
| Post-GWAS 와 Functional Genomics 의 등장 (0) | 2019.08.23 |
| 부모-자식 데이터를 통한 유전율 추정 (0) | 2018.05.13 |
| Solar 설치 (0) | 2018.01.29 |